当前位置:
别再只拿它煮水祛湿了!薏苡仁的真实身份是“脂肪狙击手”
来源: | 作者:古得宁 | 发布时间: 2026-02-13 | 32 次浏览 | 分享到:
薏苡仁作为兼具美味与功效的药食同源食材,在科学研究的加持下,其调节糖脂代谢的功效得到充分证实。

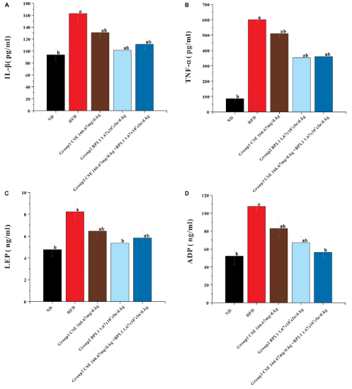
薏苡仁调节糖脂代谢的机制复杂而精妙,如下图5,研究揭示其主要通过多重路径协同作用。首先是抗炎路径,慢性低度炎症是导致胰岛素抵抗和糖脂代谢紊乱的关键因素,肥胖会引发内质网应激,激活NF-κB、JNK等炎症通路,导致IL-1β、TNF-α等炎症因子释放增加。薏苡仁提取物能直接作用于机体组织,降低血清中IL-1β和TNF-α的水平,缓解慢性炎症状态,从而改善胰岛素敏感性,提升机体对葡萄糖的利用能力。

小鼠血清糖脂代谢相关指标检测结果

(A) 炎症因子白细胞介素-1β(IL-1β);(B) 炎症因子肿瘤坏死因子-α(TNF-α);(C) 血清瘦素(LEP)水平;(D) 血清脂联素(ADP)水平。数据以均值 ± 标准差表示(n=12);a:与正常对照组(ND)相比,P<0.05;b:与高脂模型组(HFD)相比,P<0.05。

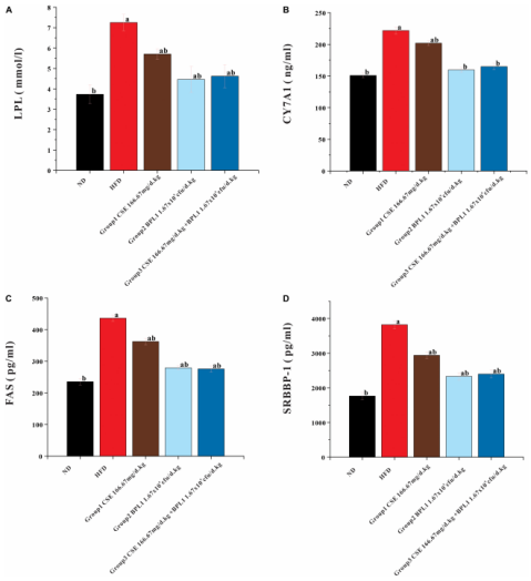
其次是脂质合成抑制路径,如下图6,薏苡仁中的活性成分能调控脂质代谢相关蛋白的表达,显著降低肝脏组织中脂肪酸合成酶(FAS)、固醇调节元件结合转录因子(SREBP-1c)、脂蛋白脂酶(LPL)等的蛋白水平,抑制脂肪合成与蓄积。同时,薏苡仁还能通过调节脂联素-腺苷酸活化蛋白激酶-乙酰辅酶A羧化酶-丙二酰辅酶A-游离脂肪酸代谢通路,减少血液中游离脂肪酸含量,增加抗氧化酶活性,降低血清自由基水平,进一步辅助调节脂质代谢。

小鼠肝脏组织糖脂代谢相关指标检测结果

(A) 脂蛋白脂酶(LPL);(B) 脂肪酸合成酶(FAS);(C) 胆固醇7α-羟化酶(CYP7A1);(D) 固醇调节元件结合转录因子 1(SREBP-1)。数据以均值 ± 标准差表示(n=12)。a:与正常对照组(ND)相比,P<0.05;b:与高脂模型组(HFD)相比,P<0.05。

肠道菌群调节是薏苡仁发挥代谢调理作用的另一重要路径。肠道菌群平衡与代谢健康密切相关,肥胖小鼠的肠道菌群结构存在明显异常,厚壁菌门、变形菌门占比升高,拟杆菌门占比降低,乳球菌属等有害菌丰度增加。如下图7,研究发现,薏苡仁提取物虽未直接改变抗炎相关菌群的丰度,但与益生菌联合使用时,能协同调节肠道菌群结构,显著增加双歧杆菌等有益菌丰度,减少与肥胖相关的乳球菌属,改善肠道菌群多样性和功能,进而增强糖脂代谢调节效果。此外,薏苡仁还能保护肠道黏膜免疫功能,修复肠道屏障,促进降糖信号通路传导,为代谢健康提供肠道层面的保障。

在线客服